Graph Class

Graph Class

graph.Graph([edges, nodes]) Creates a graph with the specified vertices and edges

Graph Class Methods

Construction Methods

graph.Graph.add_edges(edges) Adds edges to the graph.
graph.Graph.add_nodes(nodes) Adds nodes to the graph.
graph.Graph.new_projection(edge_map, node_map) Construct a new graph.Graph whose nodes are the values returned by applying the function node_map(node) -> new_node to each node; and whose edges are the values returned by applying the function edge_map(src_node,dst_node,edge_obj) -> new_edge_obj to each edge triple.
graph.Graph.new_subgraph([edge_pred, node_pred]) Returns the maximal subgraph for which all nodes satisfy the node predicate and all edges satisfy the edge predicate.

Local Graph Methods

graph.Graph.send_collect(emmiter, collector) Request each edge triple to emmit messages via the function emitter which will be delivered to its source and destination node where they will be processed by the function collector.
graph.Graph.update_edges(updater) Apply the function updater(src_node,dst_node,edge_obj) to each edge triple, it should treat the source and destination objects, src_node and dst_node, as constant inputs.
graph.Graph.update_nodes(updater) Apply the function updater(node) to each node.

Query Methods

graph.Graph.nodes() Returns a set-like object containing the nodes in the graph.
graph.Graph.find(motif) Returns all structure patterns found in the graph which match the given motif.

Details

class graph.Graph(edges=None, nodes=None)

Creates a graph with the specified vertices and edges

Parameters:
  • edges (iterable, optional) – An iterable which yields triples of the form (src_node,dst_node,edge_obj) signifying a directed edge whose source is src_node and whose destination is dst_node. The object edge_obj will be attached to this edge (as a label).
  • nodes (set-like, optional) – A collection of (distinct) hashable objects.

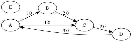
Example

1
2
3
g = Graph(edges = [('A','B',1),('A','C',1),
                   ('B','C',1),('C','D',1),('D','A',1)],
          nodes = {'E'})

produces the graph g:

_images/graph1.png

Construction Methods

Graph.add_edges(edges)

Adds edges to the graph. Any new source and destination nodes are also added.

Parameters:edges (iterable) – An iterable which yields triples of the form (src_node,dst_node,edge_obj) signifying a directed edge whose source is src_node and whose destination is dst_node. The object edge_obj will be attached to this edge (as a label).
Graph.add_nodes(nodes)

Adds nodes to the graph.

Parameters:nodes (set-like) – A collection of (distinct) hashable objects.
Graph.new_projection(edge_map, node_map)

Construct a new graph.Graph whose nodes are the values returned by applying the function node_map(node) -> new_node to each node; and whose edges are the values returned by applying the function edge_map(src_node,dst_node,edge_obj) -> new_edge_obj to each edge triple.

Parameters:
  • node_map (function) –

    This should be a function of the form map(src_node,dst_node,edge_obj) which modifies edge_obj, while treating src_node and dst_node as constant. Any return values will be ignored.

    Parameters Description
    node The input node
    Return Values  
    new_node The node created in the new graph
  • edge_map (function) –

    This should be a function of the form map(src_node,dst_node,edge_obj) which modifies edge_obj, while treating src_node and dst_node as constant. Any return values will be ignored.

    Parameters Description
    src_node The node at the source of the edge
    dst_node The node at the destination of the edge
    edge_obj The object attached to the edge
    Return Value  
    new_edge_obj The object attached to the edge created in the new graph whose source node is node_map(src_node) and whose destination is node_map(dst_node)
Returns:

The new graph.

Return type:

graph.Graph

Graph.new_subgraph(edge_pred=None, node_pred=None)

Returns the maximal subgraph for which all nodes satisfy the node predicate and all edges satisfy the edge predicate.

Parameters:
  • node_pred (function, optional) – This should be a function of one argument which returns a bool. If node_pred is ommitted, then all nodes are included.
  • node_pred – This should be a function of one argument which returns a bool. If edge_pred is ommitted, all edges are included whose source and destination nodes satisfy the node predicate.
Returns:

The maximal subgraph satisfying the given predicates.

Return type:

graph.Graph

Example

1
2
3
4
5
6
g = Graph(edges = [('A','B',1),('A','C',1),
                   ('B','C',2),('C','D',2),('D','A',3)],
          nodes = {'E'})
edge_pred = (lambda src,dst,e: e==2)
node_pred = (lambda node: node in {'A','B','C'})
h = g.subgraph(edge_pred = edge_pred,node_pred = node_pred)

produces the subgraph h:

_images/graph2.png

of the graph g:

_images/graph1.png

Local Graph Methods

Graph.send_collect(emmiter, collector)
Request each edge triple to emmit messages via the function emitter
which will be delivered to its source and destination node where they will be processed by the function collector.
Parameters:
  • emitter (function) –

    This should be a function of the form:

    emitter(src_node,dst_node,edge_obj) -> src_msg_iter,dst_msg_iter

    Parameters Description
    src_node the source node
    dst_node the destination node
    edge_obj the object attached to the edge
    Return Values  
    src_msg_iter An iterator which yields messages delivered to the source node
    src_msg_iter An iterator which yields messages delivered to the destination node
  • collector (function) –

    This should be a function of the form collector(node,msg_iter) which processes the messages in msg_iter and modifies node acordingly. Any return values will be ignored.

    Parameters Description
    node The recipient node
    msg_iter An iterator of messages addressed to the node
Graph.update_edges(updater)

Apply the function updater(src_node,dst_node,edge_obj) to each edge triple, it should treat the source and destination objects, src_node and dst_node, as constant inputs.

Parameters:updater (function) –

This should be a function of the form updater(src_node,dst_node,edge_obj) which modifies edge_obj, while treating src_node and dst_node as constant. Any return values will be ignored.

Parameters Description
src_node The node at the source of the edge
dst_node The node at the destination of the edge
edge_obj The object attached to the edge
Graph.update_nodes(updater)

Apply the function updater(node) to each node.

Parameters:updater (function) –

This should be a function of the form updater(node) which modifies node. Any return values will be ignored.

Parameters Description
node The node to be modified

Query Methods

Graph.nodes()

Returns a set-like object containing the nodes in the graph. This can be chained after graph.new_subgraph to form more complex queries.

Returns:A set-like object containing the nodes in the graph.
Return type:set-like
Graph.find(motif)

Returns all structure patterns found in the graph which match the given motif. This can be chained after graph.new_subgraph to form more complex queries.

Parameters:motif (string) –

A semi-colon separated string of structural patterns of the form (a)-[e]->(b). This structural pattern represents an edge where (a) and (b) represent the source and destination nodes (these can optionally be left blank) and [e] represents the object labeling the edge (it can optionally be left blank).

Each of a, b, and e are arbitrary substrings (they can optionally be left blank, and must not include the special characters ()[]->), if they are not blank, they will be used as column labels in the returned DataFrame.

Returns:
A DataFrame-like object whose columns are labelled by the distinct substrings
(a), (b), [e] found among the structural pattern parts of the motif (the parentheses () square brackets [] are included to distinguish columns representing edges and nodes).

Each row corresponds to a valid assignment of the node labels (a) and (b) to nodes in the graph, and edge labels [e] to edges in the graph, which is consistent with all the structural patterns in the motif. For example the motif (a)-[e1]->(b); (b)-[e2]->(c) would find pairs of edges from a to b to c. Similarly, the motif (a)-[e1]->(b); (b)-[e2]->(a) would find pairs of nodes a and b connected by edges in either direction.

Return type:DataFrame-like

Example

Given the graph g:

_images/graph1.png

the query g.find("(a)-[e1]->(b); (b)-[e2]->(c)") returns

  (a) (b) [e1] (c) [e2]
0 A B 1 C 2
1 A C 1 D 2
2 B C 2 D 2
3 C D 2 A 3
4 D A 3 B 1
5 D A 3 C 1